Пройдите короткий опрос. Это важно для нас ❤️

Ученые как никогда близки к открытию Новой физики. Она изменит представления об устройстве микромира (и Вселенной) Хотите приблизиться к важнейшему открытию века? Предупреждаем: легко не будет
Мы рассказываем честно не только про войну. Скачайте приложение.
Весной 2021 года были опубликованы результаты сразу нескольких экспериментов по изучению микромира, в которых многие специалисты склонны видеть долгожданные намеки на проявления Новой физики. Игорь Иванов из Лаборатории ядерных проблем Объединенного института ядерных исследований рассказал «Медузе» о загадках микромира, ожиданиях физиков и о результатах новых экспериментов.
О чем этот текст — максимально коротко. Броским термином «Новая физика» ученые называют фундаментальный пласт реальности, который лежит в основе устройства нашей Вселенной и должен прийти в качестве главной теории на смену Стандартной модели — современной теории элементарных частиц. Судя по многочисленным косвенным признакам, Новая физика точно существует, но как она работает— пока неизвестно. Для того, чтобы Новая физика превратилась из гипотезы в реальность, необходимо в экспериментах найти эффекты микромира, которые никак не могут быть объяснены Стандартной моделью. Возможно, наличие первых из них было подтверждено этой весной. Но это не точно: результатов экспериментов все еще недостаточно, чтобы говорить об открытии.
Что такое Стандартная модель?
Несколько столетий назад естествоиспытатели осознали важный принцип: существуют фундаментальные, универсальные законы природы, однако в конкретных ситуациях их проявление «замыливается» огромным количеством несущественных деталей. Возникло желание добраться до «исходного кода» мироздания, и уж затем, понимая, как мир работает на фундаментальном уровне, разбираться с конкретными ситуациями.
Это стремление постичь суть физического мира привело в XIX веке к развитию электродинамики, оптики, к пониманию, что материя во всех ее бесчисленных формах состоит из атомов очень небольшого числа сортов.
На рубеже веков физики смогли «вскрыть» и сами атомы: сначала обнаружили в них электроны, затем тяжелые и компактные ядра. Чуть позже выяснилось, что все ядра состоят лишь из двух сортов частиц — протонов и нейтронов, — которые различаются электрическим зарядом, а в остальном практически идентичны.
Сложилась поразительно простая картина устройства мира: вся материя — это три типа частиц в разных комбинациях, сцепленных друг с другом либо электрическими силами, либо, как протоны и нейтроны в ядре, сильным ядерным взаимодействием. Родившаяся в 1920-х годах квантовая механика дала этой описательной картине четкую математическую формулировку. Казалось, физики окончательно прояснили устройство мира на глубоком уровне.
А затем неожиданно оказалось, что мир фундаментальных частиц несравнимо богаче этой картины.
- Были открыты мюоны — частицы, очень похожие на электроны, но только в 200 раз их тяжелее.
- Были обнаружены разнообразные частицы (их потом назовут адронами), которые тоже активно участвуют в сильных взаимодействиях. В середине XX века, когда бурно развивались ускорители частиц, физики открывали по несколько новых адронов в год.
Все эти частицы были совершенно новыми, незнакомыми. Они нестабильны и за кратчайшую долю секунды распадаются на привычные нам частицы материи, поэтому не накапливаются в обычном веществе. Однако они вполне реальны и регулярно рождаются, пусть и на короткое время, в столкновениях космических частиц с молекулами газа в верхних слоях атмосферы.
Были также открыты слабые взаимодействия со своими удивительными законами. Это единственная из фундаментальных сил, способная менять сорт частиц. Именно благодаря слабым взаимодействиям выделяется энергия в Солнце и распадаются тяжелые частицы. Без слабого взаимодействия, совершенно незаметного в повседневной жизни, наша Вселенная была бы совершенно иной.
В середине XX века ситуация ощущалась так, словно раньше исследователям была доступна лишь демо-версия реальности, а с развитием ускорительных и детекторных технологий им открылся доступ к ее полной версии. И физики пытались эту полную версию микромира осознать, описать, протестировать, научиться использовать.
В 1960-х годах накопленная экспериментальная информация достигла критического объема и привела к прорыву в понимании, как устроены адроны и их взаимодействия.
- В 1964 году была сформулирована гипотеза кварков — составных кирпичиков адронов.
- Все известные на тот момент адроны оказались либо комбинациями из трех кварков (как протон и нейтрон), либо парами из кварка и антикварка (такие частицы называются мезоны).
- Протоны состоят из двух u-кварков и одного d-кварка, нейтроны — из двух d-кварков и одного u-кварка.
- Если заменить u или d на третий сорт кварков s, получится целое семейство так называемых «странных частиц», так удививших физиков в 1940-е и 1950-е годы. Примером странных частиц служат K-мезоны, или каоны, — комбинации из анти-s кварка и u-кварка (частица K⁺) или анти-s и d (частица K⁰).
- Наконец, наподобие атомов, адроны могут пребывать в возбужденном состоянии. Каждая такая комбинация проявляется в эксперименте как новая частица со своими характерными свойствами — отсюда и весь «зоопарк» адронов, обнаруженный в экспериментах.
Последовавшее за этим период, в особенности 1970-х годы, считаются золотым веком в истории физики элементарных частиц. Кварковая картина адронов, дополненная математическим формализмом сильного взаимодействия, успешно описывала все явления адронных столкновений при больших энергиях. Прояснился и процесс распадов адронов за счет слабого взаимодействия: тяжелый кварк внутри адрона превращается в кварк полегче, а выделяющаяся при этом энергия тратится на рождение дополнительных легких частиц. В 1974 году был открыт четвертый тип кварков (c, «очарованный» кварк), в 1979 — пятый (b, «прелестный» кварк). Содержащие этот кварк B-мезоны (они так и называются — прелестные мезоны) оказались кладезем информации для физиков, поскольку они могут распадаться сотнями разных способов.

Весь этот процесс постижения законов микромира привел в 1970-х годах к построению удивительно компактной теории, за которой закрепилось название Стандартная модель.
- В ней постулируется, что в нашем мире могут существовать шесть сортов (на физическом жаргоне — ароматов) кварков и шесть сортов лептонов (частиц материи, нечувствительных к сильному взаимодействию: электронов, мюонов, их еще более тяжелого, чем мюон, собрата — тау-лептона — и трех видов нейтрино, про которые мы уже писали).
- Все кварки и лептоны удивительно красиво выстраиваются в три поколения частиц материи. Вещество вокруг нас состоит только из частиц первого поколения. Частицы второго и третьего поколения нестабильны, однако природа зачем-то предусмотрела их наличие.
- Три известных вида фундаментальных взаимодействий между частицами материи описываются красивым математическим языком, основанным на симметриях. В эту концепцию вписывается и сильное взаимодействие с его вечным «пленением» кварков внутри адронов, и слабое взаимодействие, и электромагнетизм. Причем два последних представляют собой «осколки» общего электрослабого взаимодействия, которое царило во Вселенной в самые первые мгновения после Большого взрыва, а затем распалось на две совершенно разные по своему характеру силы.
Математическое описание того, как такое самопроизвольное нарушение симметрии вообще может происходить, дает знаменитый хиггсовский механизм, также придуманный в 1964 году. Открытие в 2012 году бозона Хиггса — отголоска хиггсовского механизма — стало материальным доказательством реальности этого процесса.
Стандартной модели уже полвека, но она так и остается передним краем нашего понимания фундаментальных законов микромира. Точнее, передним экспериментально подтвержденным краем. Потому что за пределами Стандартной модели точно должна существовать Новая физика, до которой ученые пытаются добраться вот уже которое десятилетие.
Что не так со Стандартной моделью?
Стандартная модель (кратко — СМ) оказалась поразительно живучей теорией. Ее устройство было жестко зафиксировано полвека назад и не допускает никаких изменений, никаких надстроек. В ней имеется несколько численных параметров, и они тоже были давным-давно зафиксированы. Последней неизвестной величиной оставалась масса бозона Хиггса, но сейчас, после открытия этой частицы, измерена и она.
Ничего «подкрутить» внутри Стандартной модели уже нельзя. Ее можно только использовать для предсказаний тех или иных процессов и затем проверять предсказания экспериментально. За последние десятилетия это было проделано для тысяч самых разных процессов. В подавляющем большинстве случаев наблюдалось полное согласие с моделью — по крайней мере, в пределах погрешностей расчетов и измерений.
Правда, не все удается вычислить хорошо. Многие характеристики адронов остаются очень трудными для расчетов. На какой-то успех тут можно рассчитывать только благодаря численным вычислениям на суперкомпьютерах, и то, точность расчетов тут пока остается на уровне процентов или даже десятков процентов. Теоретические модели тоже есть, но они, скорее, описательные, а не фундаментальные.
Но все эти претензии не относятся к Стандартной модели как таковой — она по-прежнему сияет своей завершенностью. Они лишь отражают наше недостаточное умение решать сложные уравнения, которые вытекают из модели. Но можно составить такие комбинации измеряемых величин (например, отношения вероятностей разных распадов), в которых теоретические неопределенности сокращаются. Вот для таких комбинаций теория дает достаточно уверенные предсказания.
Казалось бы, раз Стандартная работает так хорошо, можно было бы и успокоиться? Увы, нет. Есть целый список причин, почему СМ не может быть последним словом в физике микромира.
Какие есть причины?
- Во-первых, в нашей Вселенной есть явления, которые СМ неспособна описать, хотя по идее должна. Прежде всего, это две большие загадки космологии: из чего состоит темная материя — и как так случилось, что в нашей Вселенной вещество преобладает над антивеществом. Казалось бы, какая тут связь? Одно дело микромир, а другое — Вселенная целиком. Но в том-то и дело, что фундаментальные законы должны быть применимы везде и всегда — хоть внутри атомного ядра, хоть на масштабах космоса; хоть в том сверхгорячем первичном бульоне всевозможных частиц, который представляла собой Вселенная сразу после Большого взрыва. Если вооружиться Стандартной моделью и рассчитать, что происходило во Вселенной в ту раннюю эпоху или происходит сейчас в масштабах всей Вселенной, то выяснится, что СМ с этими двумя проблемами совершенно не справляется.
- Во-вторых, даже в микромире существуют вещи, которые СМ может описать, но не может объяснить. Параметры СМ можно определить экспериментально, но они не предсказываются самой моделью. Числа из Стандартной модели — просто способ выразить в конкретных параметрах незнание чего-то более глубокого об устройстве мира. Чисел этих не так много: массы кварков и лептонов, их параметры смешивания (именно через них слабое взаимодействие и заставляет тяжелые частицы распадаться), да несколько структурных величин, описывающих интенсивность взаимодействий. Но факт остается фактом — никто не понимает, откуда эти числа берутся. Особенно беспокоит поразительно малая масса нейтрино: не нулевая, не сравнимая с кварками, а в миллионы раз меньше. И самое интригующее наблюдение состоит в том, что в самих массах и параметрах смешивания, измеренных в эксперименте, четко прослеживаются закономерности. Такое ощущение, что через эти величины природа нам намекает на какие-то более глубокие законы мироздания, но мы пока не можем эти сигналы расшифровать.
- Наконец, в устройстве Стандартной модели есть постулаты, которые в рамках самой СМ даже нет возможности обсуждать. Почему в природе имеется не одно, не два, а три поколения кварков и лептонов? Почему взаимодействий тоже три и почему они именно такие? Что будет происходить в столкновениях на сверхвысоких энергиях, при которых гравитация становится так же важна, как и остальные силы? Стандартная модель бессильна это объяснить.
Длинный список открытых вопросов и структурных проблем СМ уже давно убедил подавляющее большинство физиков в том, что модель неполна. Должно быть что-то за ее пределами. Обязан существовать новый пласт реальности, свод более глубоких фундаментальных законов, из которых должна выводиться СМ. Эта новая, более глубокая теория условно называется Новая физика, но что она собой представляет — никто достоверно не знает.
Это и есть самая большая загадка современной физики частиц. И потому главная научная задача Большого адронного коллайдера — открыть Новую физику. А сделать это можно, лишь достоверно обнаружив явления, выходящие за рамки Стандартной модели.
Как ищут Новую физику?
Новая физика — не конкретная теория, а собирательное название для всего, что расходится со Стандартной моделью. Поэтому искать проявления Новой физики можно самыми разными способами.
Например, каждый раз, когда запускается новый коллайдер с рекордной энергией, физики первым делом просто проверяют, не проступает ли в данных о рождениях частиц на таких энергиях какое-то новое, бросающееся в глаза явление. Так, в декабре 2015 года, когда стартовал второй сезон работы Большого адронного коллайдера, физики изучили процесс рождения двух фотонов большой энергии и обнаружили на графиках намек на всплеск при массе 750 ГэВ. Сообщение вызвало шквал теоретических интерпретаций и эйфорию у многих теоретиков. Полгода спустя, на вчетверо большей статистике, аномалия была безоговорочно «закрыта».
Но можно искать Новую физику, изучая и уже известные частицы — если их свойства измерить с высокой, недоступной ранее точностью.
Загадки прелестных мезонов
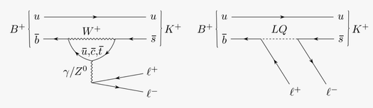
Особенный интерес представляют редкие варианты распада прелестных мезонов с вероятностью порядка одной миллионной. В обычных распадах, которые охотно идут в рамках Стандартной модели, мизерная добавка от гипотетической Новой физики будет совершенно незаметна. Но в случае редких распадов, где сама структура Стандартной модели служит препятствием для распада, эффекты Новой физики, соперничая с влиянием СМ, способны сильно изменить предсказания. Именно в этом смысл охоты за такими «раритетам микромира» — максимально устранить влияние Стандартной модели.

Герой мартовских новостей — распад B⁺-мезона на заряженный каон и лептонную пару μ⁺μ⁻ или e⁺e⁻. В ходе него b-кварк должен превратиться в s-кварк. Но в рамках Стандартной модели организовать такой распад очень непросто: в ней не существует частицы, способной напрямую превратить b-кварк в s. Этот процесс должен идти внутри мезона в несколько этапов и требует «помощи» тяжелых виртуальных частиц: они на мгновение возникают внутри мезона, организуют кварковые превращения, а потом снова исчезают.
Однако если в природе существует лептокварк — гипотетическая частица, способная превращать кварк в лептон и наоборот, — то такой распад шел бы напрямую. В Стандартной модели никаких лептокварков нет, но некоторые варианты Новой физики их вполне допускают.
Есть и другие теории — без участия лептокварков, — которые предсказывают существенное отклонение вероятности распада B⁺ → K⁺μ⁺μ⁻ от предсказаний Стандартной модели.
23 марта этого года большой международный коллектив физиков-экспериментаторов, анализирующий данные детектора LHCb — одного из четырех детекторов-гигантов Большого Адронного Коллайдера, — сообщил в своей научной публикации об отклонении именно в этом распаде от предсказаний СМ.

Этот распад появляется в ленте новостей LHCb не впервые (см. хронологию исследования). Намеки на отклонение начали проступать еще к 2014 году, когда были обработаны данные первого сеанса коллайдера. Затем пошли данные второго сеанса, измерения становились все точнее, но и само отклонение начало уменьшаться. Казалось, аномалия, с которой физики связывали большие надежды на совершение великих открытий, окажется просто неточностью сбора и обработки данных. Но результат 2021 года подтвердил расхождение со СМ при почти двукратном увеличении статистики!
Это очень обнадеживающий сигнал: можно считать, что экспериментаторы теперь досконально изучили и свою установку, и методику анализа, знают все их слабые места и погрешности, умеют правильно их оценивать. Все это дает повод для «осторожного оптимизма», — а такие слова из уст самих экспериментаторов дорого стоят.

Как ученые анализировали данные
Дабы не было подозрения, что экспериментаторы подгоняют данные под желаемый результат, следует пояснить тонкости эксперимента.
- Теоретический расчет вероятности распада B⁺ → K⁺μ⁺μ⁻ — дело очень сложное, ведь в процессе участвуют адроны, а их обсчитывать теоретики умеют лишь приблизительно. Но ровно те же погрешности относятся и в «сестринскому» распаду с участием электронов B⁺ → K⁺e⁺e⁻. Поэтому для отношения вероятностей этих двух распадов — оно обозначается RK — точность предсказаний получается очень высокой.
- Стандартная модель предсказывает, что это отношение равно единице. Так получается из-за важного свойства СМ: слабое взаимодействие действует одинаково (то есть, универсально) на лептоны любого сорта. Эксперимент же показал, что отношение равно примерно 0,846 ± 0,044, что отличается от единицы на 3,1 стандартных отклонений (сигм, σ).
- Обнаруженную аномалию называют указанием на нарушение лептонной универсальности. Если она подтвердится в будущем, отмахнуться от расхождения, оставаясь в рамках Стандартной модели, не получится. Это точно будет эффект Новой физики.
- Если копнуть еще дальше в детали отбора и анализа данных, то выяснится, что детектировать электроны и измерять их энергии намного сложнее, чем для мюонов. Собственно, было идентифицировано намного меньше случаев распада на K⁺e⁺e⁻ в нужной области энергий, чем распадов на K⁺μ⁻μ⁻ — просто потому, что эффективность регистрации e⁺e⁻-пар значительно хуже. Но это стандартная особенность всех коллайдерных экспериментов, так что физики давно научились контролировать эффективность регистрации и извлекать научные результаты с ее учетом. В данной работе эффективность регистрации была проверена несколькими перекрестными способами; про эти тонкости можно прочитать в популярной статье «На LHC обнаружен еще один намек на нарушение Стандартной модели».
- Ну и, наконец, надо подчеркнуть, что вся методика была отлажена и зафиксирована до того, как в анализ была добавлена новая порция данных. Ничего на ходу уже не менялось.
Но есть и дополнительная интрига: обсуждаемый распад B-мезонов — далеко не единственный, в котором LHCb видит что-то странное.
Вообще, за десятилетие, прошедшее с момента запуска БАК, детектор LHCb исправно поставлял очень интересные результаты. Но если сначала это были лишь ожидаемые открытия (например, новые адроны), то начиная с 2013 года, когда накопленная статистика подросла, пошла целая серия сообщений о тех или иных отклонениях в распадах B-мезонов. В результате, к 2015 году физики обнаружили как минимум четыре разновидности распадов, в которых имелись расхождения с предсказаниями СМ (подробное описание этих результатов можно найти здесь).
Каждое из этих отклонений не дотягивает до полноценного открытия (и почти автоматической Нобелевской премии). Статистическая значимость расхождения со СМ составляет от 2 до 4 стандартных отклонений. В новой статье тоже сообщается об отклонении на уровне 3,1 σ — достаточно для того, чтобы заявить об «указании на существование эффекта», но недостаточно для объявлении об открытии (для этого нужно показать статистическую значимость отклонений до 5 σ и больше).
Но при всех различиях эти расхождения удивительным образом указывают на фундаментальное отклонение одного типа: что-то неладное происходит именно при распадах B-мезонов с участием мюонов. Воодушевленные этим наблюдением теоретики даже попытались оценить совокупную статистическую значимость всех этих расхождений: у разных групп она получается от 5 до 8 σ!
Как относиться к этим числам — вопрос личных пристрастий. Кто-то верит, что Новая физика уже на пороге, и надо лишь убедить в этом всех остальных.
Кто-то справедливо указывает, что теоретики не знают всех тонкостей конкретной экспериментальной установки и методики обработки данных. А, значит, объединение результатов совершенно разных экспериментов для оценки их совокупной статистической значимости слишком легкомысленно.
Большинство же ждут новых результатов работы LHCb и других детекторов. В ближайшие годы набранная статистика возрастет, погрешности уменьшатся, и, хочется надеяться, расхождение со Стандартной моделью в конкретных примерах распадов дорастет до 5 σ — рубеж, за которым в физике частиц следует объявление об открытии.
Загадка магнитного момента мюона
В апреле пришло не менее обнадеживающее сообщение из Национальной лаборатории им. Э. Ферми в Чикаго. Эксперимент Muon g−2 по измерению магнитного момента мюона, готовившийся в течение нескольких лет и приступивший к работе в 2017 году, наконец-то выдал первый результат. В статье, опубликованной в Physical Review Letters, сообщается, что расхождение между предсказаниями Стандартной модели и экспериментом, обнаруженное еще двадцать лет назад и будоражившее воображение физиков-теоретиков, в Muon g−2 подтверждается и даже обостряется.
В эксперименте изучаются не столкновения и не распады, а одна-единственная характеристика мюонов — аномальный магнитный момент: то, насколько «встроенный» магнетизм мюона отличается от наивного предсказания конца 1920-х годов (насколько параметр g отличается от двойки — отсюда и название эксперимента «Muon g−2»).
Отличие возникает из-за виртуальных частиц, которые на мгновение возникают рядом с мюоном, слегка меняют его магнитные свойства, и тут же им поглощаются. При этом свой вклад в изменение свойств мюона должны вносить все существующие частицы, даже те, которые мы пока не открыли. Получается, магнитный момент мюона дает нам уникальную возможность всмотреться в самую глубь микромира и попробовать разглядеть там частицы, отсутствующие в Стандартной модели. То есть Новую физику, которую мы пока не можем открыть на коллайдерах.
Магнитный момент мюона посчитан и измерен с огромной точностью: погрешность составляет менее одной миллиардной. Тот факт, что с такой точностью теория совпадает с экспериментом — повод для гордости и теоретиков, и экспериментаторов. Однако на пределе точности физики все же видят различие: оно составляет 4,2 стандартного отклонения. Это достаточно серьезная заявка на открытие; не случайно на следующей же день после объявления об этом результате появилось свыше 30 теоретических статей, объясняющие нестыковку с помощью самых разных вариантов Новой физики.
В чем заключается это открытие?
Магнитный момент частиц выражается через гиромагнитное отношение, которое для мюона чуть-чуть превышает двойку: gμ ≈ 2,00233. Но вместо того, чтобы говорить про саму величину gμ физикам удобнее записать gμ=2(1+aμ) и дальше обсуждать уже отклонение от двойки: aμ ≈ 0,001166. Величина aμ и называется аномальным магнитным моментом мюона. В самом аномальном магнитном моменте мюона нет ничего необъяснимого; он отлично рассчитывается и измеряется. Вопрос лишь в том, чему равен этот теоретически рассчитанный aμ и совпадает ли расчет с экспериментом. Теперь это соотношение таково:
Обновленный результат сложнейшего теоретического расчета (согласно Стандартной модели), над которым работали сотни физиков, был опубликован летом 2020 году: aμ(теория 2020) = (116 591 810 ± 43)×10⁻¹¹
Экспериментальное значение, полученное после объединения результатов старого и нового (Muon g−2) эксперимента, таково: aμ(эксперимент 2021) = (116 592 061 ± 41)×10⁻¹¹
Расхождение между теорией и экспериментом мизерное: (251 ± 59)×10⁻¹¹, но оно достигает 4,2 σ.
Казалось бы, можно порадоваться за ученых и пожелать им успеха в борьбе за получение новых данных и открытия реальных эффектов Новой физики. Но в этой истории, как в классическом сериале, в самый последний момент произошел еще один поворот событий.
За сутки до объявления результата эксперимента Muon g−2 в журнале Nature (редчайший случай для такой сложной темы!) появилась статья теоретического коллектива, в которой приводились результаты нового расчета вклада виртуальных адронов в аномальный магнитный момент мюона.
- Адроны при низких энергиях — это всегда головная боль, потому что надежных формул для расчета создаваемых ими эффектов у физиков нет. Традиционно этот вклад учитывается с помощью описательных моделей, настроенных на другие экспериментальные данные, и именно он использовался в теоретическом вычислении 2020 года.
- Но есть и прямой метод — численный расчет на суперкомпьютерах. Теоретики начали использовать этот метод достаточно давно, но для магнитного момент мюона его погрешности до сих пор оставались слишком большими, чтобы задействовать его для окончательной оценки.
Однако авторы новой статьи заявляют, что им удалось просчитать вклад адронов в аномальные отклонения магнитного момента с рекордной для этого метода точностью. Их результат существенно отличается от консенсусного теоретического значения 2020 года и намного ближе к эксперименту Muon g−2. Если верить расчету, то никакого существенного расхождения между теорией и экспериментом вообще не наблюдается.
В результате, ситуация с аномальным магнитным моментом мюона одновременно и обострилась, и запуталась. Эксперимент Muon g−2 продолжит свою работу, и его погрешности в ближайшие годы уменьшатся в несколько раз. Но сейчас на первый план выходит противостояние совсем иного рода: не теория против эксперимента, а два теоретических подхода друг против друга. Кто победит — совершенно неясно.
К счастью, ждать десятилетия не потребуется. Через несколько лет, к моменту объявления окончательного результата эксперимента Muon g−2, противостояние теоретиков должно разрешиться. Однако на сегодняшний день по-прежнему непонятно, скрывается ли за загадкой магнитного момента мюона Новая физика.
Игорь Иванов
(1) Что это за буква?
Маленькими латинскими буквами обозначают сорта, или на физическом жаргоне — ароматы — кварков.
(2) Возбуждение
Переход квантовой системы из основного энергетического состояния в состояние с большей энергией.
(3) Магнитный момент
Основная величина, характеризующая магнитные свойства.
(4) Темная материя
Невидимая, разреженная и практически невзаимодействующая субстанция, наполняющая галактики и их скопления. Проявляет себя лишь гравитационным образом и критически важна для понимания ранней Вселенной. В Стандартной модели нет частиц-кандидатов в темную материю.
(5) Антивещество
В ранней Вселенной в какой-то момент вещества стало чуть больше, чем антивещества. После остывания Вселенной антивещество исчезло в аннигиляции с веществом, а из остаточной материи образовались звезды.